LED Color Mixing: The Basics
Electronic Products 제공
2011-12-27
Combining red, green, and blue light-emitting diodes (LEDs) in a cluster allows designers of lighting or LED modules to blend light and produce new, collective colors. In this way, several colored LEDs may be combined to match the soft white light from one of Edison's incandescent bulbs, used together to make flexible light sources that respond and change based on user or sensor input, or generate the color of light desired on a massive, flashy video scoreboard.
To better understand color mixing, we will start with a brief review of some basics related to light and the human perception of light.
Light wavelengths
Light, of course, is a form of electromagnetic radiation, and as such, it can be measured in wavelengths. In the context of LED color mixing, it makes sense to focus on light wavelengths that are visible to humans, which typically range from about 400 nanometers (nm) to about 700 nm. Light wavelengths below 400 nm are considered to be ultraviolet, while light wavelengths above 700 nm are known as infrared.

The human eye, which is an amazing biochemical machine, includes in its retina special cells that react chemically to light. Some of these cells, called rods, react to light intensity, while others, called cones, are sensitive to particular wavelengths. More specifically, the cones in the retina may be divided into color ranges by their relative sensitivity to short-wavelength, middle-wavelength, and long-wavelength light. In this way, humans are said to be trichromatic, seeing red, green, and blue light.
Color perception then depends on a given light's brightness, more accurately described as luminance, and chromaticity (or color) in terms of the dominant wavelength seen. For example, the color white and the color gray may have the same or similar wavelength, but a different luminance. Likewise, the colors pink, red, and brown may have the same or similar chromaticity, but rather different luminance.
Although the human eye has three types of color sensors that respond to different ranges of wavelengths (so a full plot of all visible colors is a three-dimensional figure), the concept of color can be divided into two parts: brightness and chromaticity.
The lighting industry has a standard measurement of color called the CIE 1931 color space, which defines visible light on a two-dimensional map (Fig. 2) that contains the gamut of colors available to the typical human being. Light wavelengths are described as numbers positioned at the map's boundaries. Based on the fact that the human eye has three different types of color sensitive cones, the response of the eye is best described in terms of three "tristimulus values" (more on this shortly, but for now you just need to know that any color can be expressed on the CIE 1931 chromaticity diagram in terms of the two color coordinates x and y).
The CIE 1931 color space provides mathematical accuracy for color definitions. The color space can also be used to predict how blends of variously colored LEDs will be perceived.

For example, the color white is a bright color, while the color grey is considered to be a less bright version of that same white. In other words, the chromaticity of white and grey are the same while their brightness differs.
To complete our review of the basics that effect LED color mixing, it is helpful to remember that light has an additive property. Often, when someone thinks about color mixing, they are reminded of blending paints, wherein various colors of paints, dyes, or inks are produced by absorbing some wavelengths and reflecting others — often called color's subtractive property. Color mixing in light, however, is instead an additive process: Simply put, when red, green, and blue light — the relative colors for which the chromaticity-sensitive cones in the human retina tend to show an affinity — are combined in equal portions, they produce white light. Changing the relative luminance of any of the three primary light sources results in a change of the combined color of light produced and perceived, and, therefore, conceptually repositions the perceived light's color on the CIE 1931 color space.
RGB LED arrays
With LED color mixing, combining several LEDs, perhaps 3 to 9, in a cluster and relying on the aforementioned additive properties of light, makes it possible to produce nearly any color in the gamut of human perceptible light, including some of the most desirable kinds of white light. These can be of particular importance in home and architectural lighting applications.
Imagine a cluster of LEDs wherein separate LED drivers, such as the Linear Technology LT3476 RGB LED driver, or one of the CUI VLD24 series drivers, each manage a color-specific set of LEDs. In this way, on a system level the drive current or, even better, the duty cycle of one color set of LEDs could be varied to produce changes in that color set's luminance, and thereby affect the resultant perceived color that the array produces.
Of course, actually producing consistently colored light, whether resembling incandescent whites or user-defined colors, the environment (operating conditions) and age of an LED array does need to be considered.
This is true because an LED's specific chromaticity can be impacted by its junction temperature, and as LEDs age they tend to become less bright, meaning that their level of achievable luminance will vary over time. Also, LEDs, as with all semiconductor devices, have material and process variation that yields product with corresponding variation in performance.
Given these considerations, a lighting solution that uses color mixing will — almost by definition — need to devise some solution for monitoring either the actual light wavelength an LED is producing with a sensor or monitoring the operating temperature of the LED during operation.
Chromaticity and flux
Implicitly, this means that systems relying on color mixing may well need more precise control. For color mixing, the two most important dimensions are color (chromaticity, or XY in the 1931 CIE color space, and flux (Φ =Y)). Luminous flux is an additive metric just as perceived color is additive.
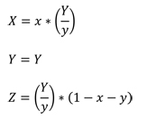
The tristimulus values of a color, as alluded to earlier, are the amounts of three primary colors in a three-component additive color model needed to match that test color. Tristimulus values, used in color mixing math, can be calculated as follows:

The combined color is the result of the added tristimulus values:
Color and flux parameters are collected as part of the LED component manufacturing process and are the basis for component binning. A designer may specify a chromaticity requirement by a calling out a particular bin, but only a portion of a given production run will fall into this color bin. If you can find ways to use a wider collection of color bins you can expect to purchase LEDs at a lower cost than an engineer who will only purchase from a particular chromaticity bin.
Usually, each LED product family has a binning and labeling document which provides the necessary specifications for using these components (see the TechZone article “Decoding LED Bin Labels”). Some other solutions — perhaps most notably the Helieon modular LED lighting solution developed jointly by Molex and Bridgelux — avoid color mixing altogether by employing phosphors that generate the desired shade of white. While this approach is good for some applications, it does not necessarily have the flexibility that the color mixing approach offers.
Cree has developed a software tool to automate color and flux math and display resulting output over Cree’s entire defined XLamp color binning space. Called the Binonator, it is a Microsoft Windows application, and requires a local copy of Microsoft Excel for correct execution. Color mixing recipes can be saved to a file and color mixing recipes can be read in to the Binonator. Color mixing is an effective technique to design consistent and repeatable multi-LED luminaires. As we have discussed, there are several tools and techniques available to create the proper color that your project requires.
면책 조항: 이 웹 사이트에서 여러 작성자 및/또는 포럼 참가자가 명시한 의견, 생각 및 견해는 DigiKey의 의견, 생각 및 견해 또는 DigiKey의 공식 정책과 관련이 없습니다.
